Rotax corona este domingo su mejor temporada en Argentina

Fotos: José Bravo
Sin duda alguna, Rotax Buenos Aires cerrará este fin de semana su mejor temporada desde que pisó suelo argentino. Se corre la última fecha, se definen los últimos campeones y los tickets para la Grand Finals de Brasil.
Los motivos para celebrar son muchos. Lo que más se resaltó este año fue el incremento de pilotos en cada fecha, que tuvo su pico en el segundo round en Zárate donde reunió 197 pilotos. Nuevamente avanzó en la parte organizativa, agilizando los trámites de inscripción, la comunicación con los pilotos y la prensa, streaming en vivo con resúmenes por TyC Sport e incorporó el sistema de tarjetas mágneticas para el ingreso a parque cerrado y retiro de neumáticos (simil al mundial).
A esto se suman un enorme crecimiento de la categoría Senior Nacional y la confirmación del buen momento de la Máster Nacional, que entre ambas hubo fechas casi alcanzaron las 60 máquinas. También creció la Senior Max, DD2 y la Micro Max, que es el semillero para futuras temporadas.
En lo deportivo se han visto grandes competencias, pero todavía queda más, porque este finde termina el campeonato anual y se deben conocer nuevos campeones. Juan Cruz Difino se coronó hace 2 fechas en Senior Nacional y Otto Fritzler logró el tricampeonato Júnior Max en el penúltimo round, consiguiendo el ticket para Brasil.
Las tablas están “que arden” y se esperan definiciones picantes en cada divisional. Te dejamos todos los datos necesarios para vivir la fecha “coronación” de Rotax Buenos Aires.
QUIENES PUEDEN SER CAMPEONES
Realizamos un extenso informes sobre los candidatos a la corona 2018. Ingresa aquí para leerlo!
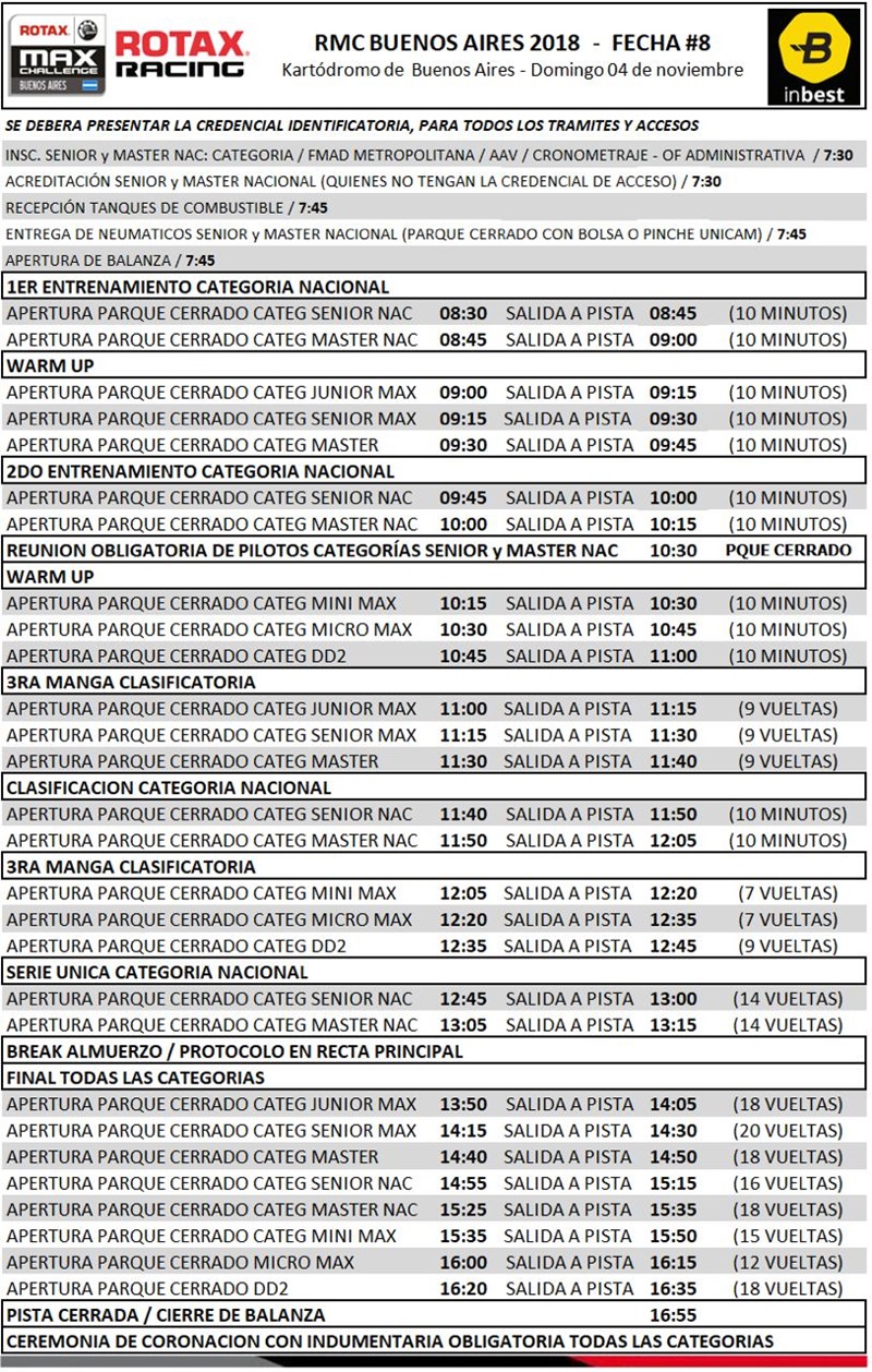
HORARIOS
El viernes habrá pruebas libres por tandas en el circuito número 2 del Kartódromo de Buenos Aires.
El sábado habrá clasificaciones y dos mangas, quedando para el domingo las terceras mangas y finales, más la actividad completas de las clases nacionales (qualy, serie y final).
PUNTAJE
En esta 8º fecha de Rotax habrá “puntaje y medio” en todas las categorías y competencias (pole, mangas y final).
Habrán 75 puntos en juego en las categorías nacionales y 153 unidades en las clases con cupos al mundial.

Curva 1 KART estará por 5º vez consecutiva en una Grand Finals Rotax.
Estamos listos para viajar a Paraiba (Brasil) para acompañar a la delegación argentina.
CLIMA

CRONOGRAMA

CUADRO TECNICO

CAMPEONATOS





